久久国内精品91,最新国产在线拍揄自揄视频,国产一卡二卡三卡四卡网站,一本视频精品视频在线观看

  • <s id="c1rt9"><abbr id="c1rt9"></abbr></s>
    <sub id="c1rt9"><dl id="c1rt9"></dl></sub>
    <small id="c1rt9"><menu id="c1rt9"></menu></small>
          1. 當前位置:首頁 > 高校招生 > 錄取分數

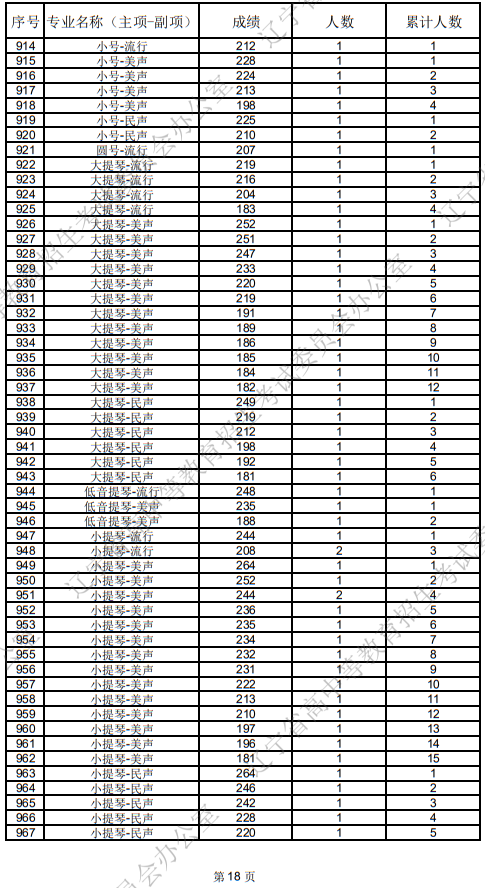
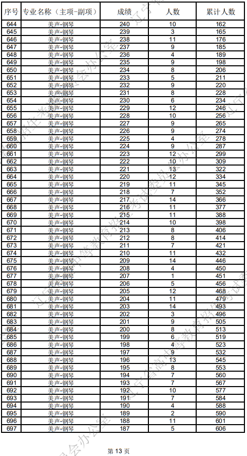
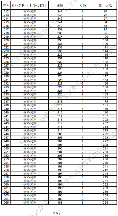
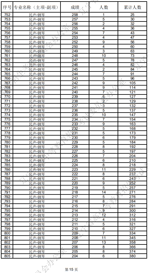
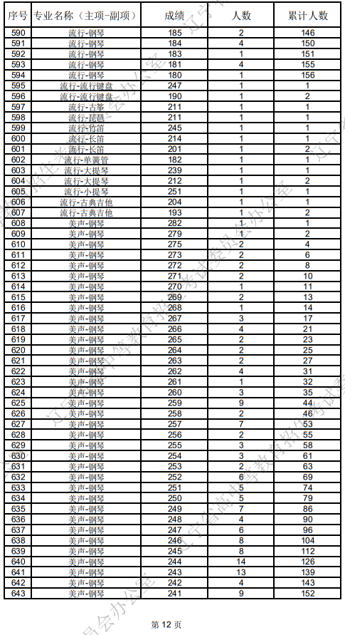
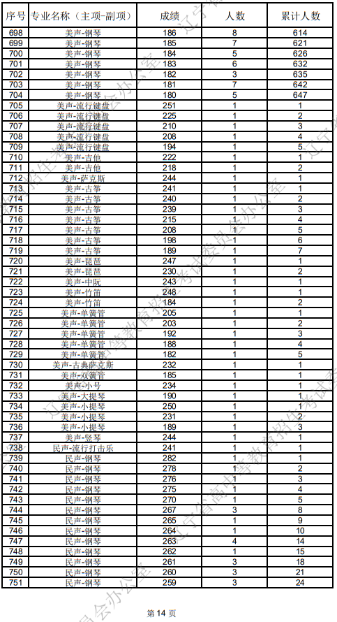
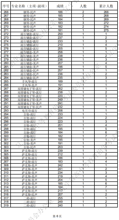
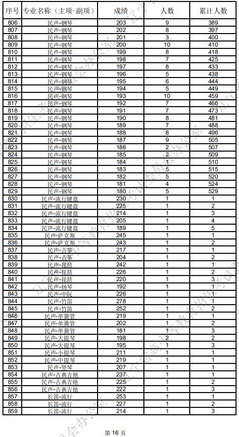
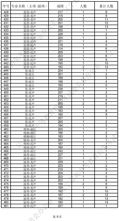
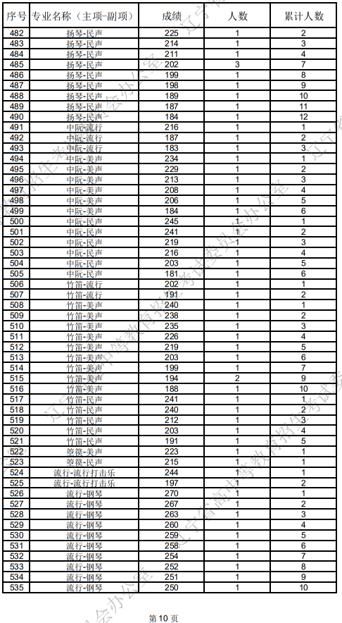
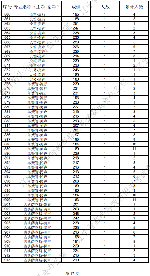
            遼寧省2025年普通高等學校招生音樂教育統(tǒng)考成績統(tǒng)計表

            高考資訊網更新時間:2025-01-07文章來源:遼寧招生考試之窗作者:未知

            遼寧省2025年普通高等學校招生音樂教育統(tǒng)考成績統(tǒng)計表

            遼寧省2025年普通高等學校招生音樂教育統(tǒng)考成績統(tǒng)計表

            遼寧省2025年普通高等學校招生音樂教育統(tǒng)考成績統(tǒng)計表

            遼寧省2025年普通高等學校招生音樂教育統(tǒng)考成績統(tǒng)計表

            遼寧省2025年普通高等學校招生音樂教育統(tǒng)考成績統(tǒng)計表

            遼寧省2025年普通高等學校招生音樂教育統(tǒng)考成績統(tǒng)計表

            遼寧省2025年普通高等學校招生音樂教育統(tǒng)考成績統(tǒng)計表

            遼寧省2025年普通高等學校招生音樂教育統(tǒng)考成績統(tǒng)計表

            遼寧省2025年普通高等學校招生音樂教育統(tǒng)考成績統(tǒng)計表

            遼寧省2025年普通高等學校招生音樂教育統(tǒng)考成績統(tǒng)計表

            遼寧省2025年普通高等學校招生音樂教育統(tǒng)考成績統(tǒng)計表

            遼寧省2025年普通高等學校招生音樂教育統(tǒng)考成績統(tǒng)計表

            遼寧省2025年普通高等學校招生音樂教育統(tǒng)考成績統(tǒng)計表

            遼寧省2025年普通高等學校招生音樂教育統(tǒng)考成績統(tǒng)計表

            遼寧省2025年普通高等學校招生音樂教育統(tǒng)考成績統(tǒng)計表

            遼寧省2025年普通高等學校招生音樂教育統(tǒng)考成績統(tǒng)計表

            遼寧省2025年普通高等學校招生音樂教育統(tǒng)考成績統(tǒng)計表

            遼寧省2025年普通高等學校招生音樂教育統(tǒng)考成績統(tǒng)計表

            遼寧省2025年普通高等學校招生音樂教育統(tǒng)考成績統(tǒng)計表

            免責聲明

            本網站的信息及數據主要來源于網絡及各院校網站,本站提供此信息之目的在于為高考生提供更多信息作為參考,由于各方面情況的不斷調整與變化,敬請以權威部門公布的正式信息為準。

            • 洞察高考趨勢,把握未來脈搏
            • 點亮智慧之光,照亮高考之路

            教育新聞EDU NEWS

            最新高考政策解讀

            高考資訊NCEE INFO

            歷年高考錄取分數線匯總

            高校招生CELEB INTV

            歷年高考試題及答案解析